![]() |
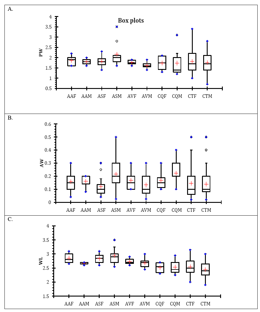
| Figure 1: Box plot representing –[A] the pupal weight (PW), [B] adult dry weight (AW) and [C] wing length (WL) of the mosquito species encountered in the rice fields in Burdwan, India. Among the mosquitoes, Cx. tritaeniorhynchus (CT; n= 373), remained dominant with relative low representation of Cx. quinquefasciatus (CQ; n= 15), An. vagus (AV; n= 21), An. annularis (AA; n= 18), and An. subpictus (AS; n=24). F- Female and M- male. |