Research Article, J Biodivers Manage Forestry Vol: 6 Issue: 3
Assessment of Soil Fertility Changes Over 7 Years after Strip Clearcutting and Afforestation ina Low-Quality Forest Stand in China
Jinzhuo Wu1*, Xibin Dong1 and Xiaoxi Cai2
1College of Engineering and Technology, Northeast Forestry University, Harbin 150040, China
2Traffic College, Northeast Forestry University, Harbin 150040, China
*Corresponding Author : Jinzhuo Wu
College of Engineering and Technology, Northeast Forestry University, Harbin 150040, China
Tel: +86-451-82191248
E-mail: wjz@nefu.edu.cn
Received: July 10, 2016 Accepted: August 18, 2017 Published: August 25, 2017
Citation: Wu J, Dong X, Cai X (2017) Assessment of Soil Fertility Changes Over 7 Years after Strip Clearcutting and Afforestation in a Low-Quality Forest Stand in China. J Biodivers Manage Forestry 6:3. doi: 10.4172/2327-4417.1000182
Abstract
In order to change the low-quality forest stands into qualified forest stands with desirable productivity and other ecological benefits, it is necessary to adjust the stand structure and functions. In this study, a low-quality forest stand after strip clearcutting in the Lesser Khingan Range of China was investigated, and the principal component analysis and membership functions were combined to evaluate the integrated soil fertility in different experimental strips (horizontal strips: S1-6 m×100 m, S2-8 m×100 m, S3-10 m×100 m, S4- 15m×100 m; Vertical strips: H1-6 m×100 m, H2-8 m×100 m, H3-10m×100 m, H4-15 m×100 m). Results showed that most soil fertility indexes of the experimental strips showed moderate variation over time, the variation coefficient of soil pH was relatively smaller, and that of total phosphorus was the largest. The integrated soil fertility index (IFI) of different strips generally decreased at the initial period and then increased over time with the lowest value appeared after planting for 3 years. After afforestation for 7 years, the order of the IFI for the horizontal clearcutting strips is: S2>S3>S4>S1, while that
of the vertical clearcutting strips is H1>H2>H4>H3. The integrated soil fertility index of S2 was the highest, which was also significantly higher than that of the year of harvest, showing the best effect. The soil fertility of some experimental strips (S2, S3, H1) was improved, however most of the clearcutting strips were remained at moderate level. Compared to vertical strips, the horizontal clearcutting strips showed better improvement in soil fertility. It is recommended that the 8 m×100 m horizontal clearcutting strip can be applied in forestry practice due to the significant improvement in soil fertility. However, soil fertility change is a long-term process, therefore long-term and consecutive observation in combination with scientific and effective study methods is still needed in order to accurately assess the changes of soil fertility in the clearcutting strips.
Keywords: Low-quality forest; Clearcutting; Soil fertility; Principal component analysis; Membership function
Introduction
Forest soil fertility refers to the capability of receiving, storing and transmitting energy to support the growth of forest stands, which is the foundation of sustainable forest development [1-3]. Study of soil fertility in forest ecosystems can be very complicated, because there are complex relationships between soil properties and stand productivity and the properties of soils may vary greatly within relatively small study area [4,5]. Meanwhile, different forest management methods will affect and limit the variation direction and intensity of forest soil fertility [6]. A decrease in soil fertility will affect not only the level of timber harvesting the forest can sustain, but also the other forest values. Therefore, identifying and reducing the negative impacts of strip clearcutting on forest soil should be an essential part of any strategy to achieve sustainable forest management and a better understanding of the variation of forest soil fertility in the long term can help provide scientific basis for the healthy management of forest stands.
The Lesser Khingan Range is one of the major forest regions in China. Due to excessive harvesting and natural disasters, the area of primitive forest in the region decreased dramatically, so did the timber productivity and quality. As a result, massive secondary forests and some over-mature forests with low canopy closure and unreasonable stand structures were formed, so-called low-quality forests [7-9]. In order to improve the ecosystem of the low-quality forests and increase the economic value of the timber products and non-timber products, it is quite necessary to take a series of integrated operating measures such as strip clearcutting and tending management on the low-quality forests [10]. Several studies have been conducted on the soil physical and chemical properties as well as short-term soil fertility of lowquality forests in this region. For example, Liu et al. [11] analyzed the soil physical and chemical properties of low-quality forest stands after strip clear-cutting for 1 year in the Lesser Khingan Range of China and obtained the impacts of different harvesting modes on the properties of surface soil. Mao et al. [6] applied grey relational analysis method to evaluate the soil fertility of low-quality forest stands with different harvesting modes (different harvesting intensity, different horizontal cutting strips, and different vertical cutting strips) after 2 years of clearcutting. However, the studies on long-term monitoring and assessment of the integrated soil fertility of low-quality forest stands after strip clearcutting in this region were rarely documented, which is critically important to evaluate the final forest management effects of different modes.
In this study, a low-quality forest stand after strip clearcutting and afforestation in the Lesser Khingan Range of China was investigated and a total of eight indicators were selected as evaluation indexes, then principal component analysis (PCA) and membership functions were combined to evaluate the integrated soil fertility in different experimental strips with various adjustment modes at different periods (harvesting year, 1-year after planting, 3-year after planting, 5-year after planting, 7-year after planting). The study can provide theoretical basis and technical support for the long-term monitoring and assessment of soil fertility in the low-quality forests in this region and help understand how forest soil ferity could be better improved with silviculture practices.
Methods
Study area
The study area was located in the 500th forest compartment (128°25’20’’E, 47°12’10’’N) at Mayongshun Forest Farm, which is at the southern part of the lesser Khingan Range of China. Except for slight slope in the southern watershed, the farm has a gentle terrain with average gradient of 10° and elevation being 117-284 m [11,12]. The study area has a continental monsoon climate. The winter is frigid and long, while the summer is short and rainy. The average annual rainfall is 641 mm and the average annual temperature is 1.1°C. The early frost appears in mid-September, the late frost is in mid-May, and the frost-free period can last for 113-126 d every year [11]. The annual sunshine duration is about 2,477h. The type of forest is broad-leaved mixed forest with canopy closure of 0.4, which is a typical low-quality forest stand.
Design of experimental strips
In 2007, horizontal and vertical strip clear-cutting were conducted respectively on the low-quality forest in the study area [11,12]. The settings of horizontal clear-cutting strips were as follows: each clearcutting strip was set up along the same elevation with length of 100 m. A total of four different strip widths were set up, including S1 (6 m), S2 (8 m), S3 (10 m) or S4 (15 m). The undisturbed forest between the horizontal cutting strips was chosen as the contrast strip (SCK). The settings of vertical clear-cutting strips were as follows: each clearcutting strip had distinct elevations with length of 100m. Four different strip widths for vertical clear-cutting were set up, including H1 (6 m), H2 (8 m), H3 (10 m) or H4 (15 m). The undisturbed forest between the vertical cutting strips was chosen as the contrast strip (HCK).
In 2008, the Pinus koraiensis, Larix gmelini, and Picea koraiensis seedlings were planted, respectively, in different sections of the clearcutting strips. The reserved forest stand between the cutting strips was broad-leaved mixed forest with average stand age of 53a, average dbh of 16 cm, average tree height of 14 m, density of 534 trees.hm-2, and canopy closure of 0.3. The soil is dark brown soil with average thickness of 45 cm. The general information about the experimental and contrast strips is presented in Table 1.
| Plot no. | Slope (°) | Aspect | Slope position | Understory coverage (%) | Dominant species | Average dbh (cm) | Average tree height (m) |
|---|---|---|---|---|---|---|---|
| S1 | 3 | North | Down | 15 | Betula platyphylla | 21 | 15 |
| S2 | 4 | North | Down | 10 | Betula costata | 18 | 13 |
| S3 | 5 | North | Down | 10 | Betula costata | 20 | 14 |
| S4 | 4 | North | Down | 10 | Tilia amurensis | 21 | 15 |
| SCK | 4 | North | Down | 15 | Betula platyphylla | 21 | 15 |
| H1 | 6 | Northeast | Down | 50 | Ulmus pumila | 12 | 12 |
| H2 | 6 | Northeast | Down | 45 | Ulmus pumila | 12 | 12 |
| H3 | 6 | Northeast | Down | 40 | Betula costata | 12 | 12 |
| H4 | 5 | Northeast | Down | 35 | Betula costata | 14 | 13 |
| HCK | 6 | Northeast | Down | 40 | Betula platyphylla | 14 | 14 |
Table 1: General information about the experimental strips.
Collection, preparation and measurement of soil samples
The experimental strips and the contrast strips were mechanically divided into four sections, and five soil samples were collected from 0-20 cm soil profile in accordance with S-type mixed sampling method in each section. Then mixed samples were collected as per quartering method with each sample weighing 1 kg. The samples were brought back to the lab for air drying, grinding and screening to accept later chemical tests. The soil samples were collected in August every other year to undergo the aforesaid tests from 2007 to 2015. Taking into consideration the long-term monitoring objective and difficulty in actual operation, the study mainly measured the following soil nutrient indexes, including soil pH, soil organic matter content (SOM), total nitrogen content (TN), total phosphorus content (TP), total potassium content (TK), hydrolysable nitrogen content (HN), available phosphorus content (AP), and available potassium content (AK). The soil nutrient measuring methods and criteria refer to the corresponding forestry industry standards of China [13].
Evaluation of soil fertility
The integrated fertility index (IFI) of soil is an index frequently used to quantitatively evaluate the soil fertility, which can well reflect the changes in soil quality [14]. So far, many methods have been used to calculate integrated soil fertility index such as clustering analysis, principal component analysis (PCA), and fuzzy mathematics. Among these methods, PCA is a widely used statistical approach for quantitative soil fertility evaluation. In this study, the membership functions will be combined with PCA to analyze the change of the integrated soil fertility in the low-quality forest experimental strips.
Establishment of membership matrix
Since soil property indexes have spatial and temporal variability and their impacts on soil fertility are also dynamically changing, the membership function (MF) was introduced to achieve fuzzy evaluation of all the indexes. A membership function is a curve that defines how each point in the input space is mapped to a membership value (or degree of membership) between 0 and 1. Based on the membership values, each single soil fertility index can be compared and the contribution to the impacts of soil function can be evaluated [14]. There are two types of commonly used membership functions, namely S-type and parabola-type [15]. The soil organic matters (SOM), total nitrogen content (TN), total phosphorus content (TP), total potassium content (TK), hydrolysable nitrogen content (HN), available phosphorus content (AP), and available potassium content (AK) can be expressed by S-type function as follows:
(1)
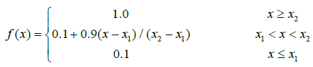
The soil pH can be expressed with parabola-type function as follows:
(2)
Where, f(x) means the membership function, x is the measured value of the soil nutrient index, and X1, X2, X3 and X4 are the values at the turning points of the membership function. After processing by membership function, the membership matrix Am×n ={aij} can be established, where j=1~m indicates the soil sampling quantity, and i=1-n indicates each soil fertility index. The calculated membership value is between 0.1 and 1.0, and the value indicates the membership degree of the index. The larger the membership value, the better the index. When the membership value is approaching 1.0, it means that the soil nutrient index can meet with the plant growth. On the contrary, when the membership value is close to 0.1, it means that the index can’t meet the requirements of the plant [16,17].
Determining the weight of soil fertility index by PCA
Firstly, figure out the eigenvalue and variance contribution of each principal component. The number of components selected is based on the criteria of eigenvalue greater than one and the selected components can explain the most information of the dataset. The relationship between each component and the standardized evaluation indexes can be expressed as:
(3)
Where,Yk is the kth principal component (k=1,2,3,…,m), Uk1 is the factor loading of the kth principal component, and X*p is the standardized value of the evaluation index.
Secondly, for each evaluation index, the sum product function in MS Excel can be used to get the linear combination of the product of variance contribution percentage (λk) and index coefficient in the selected principal components. The index weight is then obtained by dividing the previous result by the accumulative variance contribution. For example, the first index weight can be calculated as:
(4)
Since the sum of all the index weights should be equal to 1, it is necessary to carry out normalization on the index weights so as to get the final weights of the indexes.
Calculation of soil integrated fertility index
Soil integrated fertility index (IFI) can comprehensively reflect the status of soil fertility. Based on the value of this index, the soils in different experimental strips can be classified into different fertility levels. The IFI can be calculated as follows:
(5)
Where, IFIt is the integrated soil fertility index at the tth year, wi is the weight of the ith soil fertility index (i=1,2,3,…,n), and MFit is the membership value of the ith soil fertility index at the tth year.
Results
Summary of soil fertility indexes
The results of the soil fertility indexes in the low-quality forest harvesting strips at different time periods are summarized in Table 2. It is shown that the variation coefficient of soil pH value was the lowest (0.06) showing smaller variations, which indicated that strip clearcutting had the least effect on the pH value of the soil. The index of TP had the highest variation coefficient (0.47), far higher than other fertility indicators, which indicated that strip clearcutting had greater effect on the total phosphorus content of the soil. The variation coefficients of other fertility indicators varied from 0.15 to 0.26, indicating moderate variation.
| Indicators | Max | Min | Mean | Standard deviation | Coefficient of Variation |
|---|---|---|---|---|---|
| pH value | 6.19 | 4.77 | 5.53 | 0.35 | 0.06 |
| Soil organic matter (g · kg-1) | 57.84 | 20.21 | 32.74 | 8.35 | 0.26 |
| Total nitrogen content (g · kg-1) | 2.38 | 0.99 | 1.53 | 0.35 | 0.23 |
| Total phosphorus content (g · kg-1) | 1.04 | 0.18 | 0.41 | 0.19 | 0.47 |
| Total potassium content (g · kg-1) | 21.91 | 10.40 | 15.22 | 2.86 | 0.19 |
| Hydrolysable nitrogen content (mg·kg-1) | 91.11 | 46.53 | 71.90 | 10.59 | 0.15 |
| Available phosphorus content (mg·kg-1) | 3.80 | 1.42 | 2.74 | 0.53 | 0.19 |
| Available potassium content (mg·kg-1) | 38.61 | 18.46 | 30.51 | 4.47 | 0.15 |
Table 2: Statistical results of single soil fertility index after forest transformation in the Lesser Khingan Range.
Evaluation of single soil fertility index
In this study, the membership functions were used to calculate the membership of different soil fertility indexes and normalize the evaluation index dimensions so that all the indexes become comparable. In accordance with the physical and chemical characteristics of the soil in the study area as well as relevant studies [10,11], the values at curve turning points in membership function are determined (Table 3). Substitute the index values at the turning points into Eqs. (1) and (2), and calculate the membership values of all the indexes. The results are listed in Tables 4 and 5, respectively.
| Turning point | pH value | Soil organic matter | Total nitrogen content | Total phosphorus content | Total potassium content | Hydrolysable nitrogen content | Available phosphorus content | Available potassium content |
|---|---|---|---|---|---|---|---|---|
| X1 | 5 | 20 | 1.0 | 0.2 | 5.0 | 30 | 2 | 20 |
| X2 | 6 | 50 | 2.0 | 1.0 | 25 | 150 | 30 | 150 |
| X3 | 6.5 | - | - | - | - | - | - | - |
| X4 | 7.5 | - | - | - | - | - | - | - |
Table 3: Values of turning points in membership function.
| Plot no. | Timea | pH | Soil organic matter | Total nutrients (g · kg-1) | Available nutrients (mg·kg-1) | ||||
|---|---|---|---|---|---|---|---|---|---|
| Total nitrogen content | Total phosphorus content | Total potassium content | Hydrolysable nitrogen content | Available phosphorus content | Available potassium content | ||||
| S1 | 0a | 0.676 | 0.717 | 1.000 | 0.280 | 0.665 | 0.276 | 0.117 | 0.159 |
| 1a | 0.469 | 0.601 | 0.586 | 0.190 | 0.570 | 0.435 | 0.147 | 0.165 | |
| 3a | 0.307 | 0.213 | 0.523 | 0.100 | 0.486 | 0.421 | 0.129 | 0.159 | |
| 5a | 0.397 | 0.262 | 0.497 | 0.235 | 0.455 | 0.433 | 0.123 | 0.186 | |
| 7a | 1.000 | 0.140 | 0.219 | 0.201 | 0.681 | 0.237 | 0.117 | 0.123 | |
| S2 | 0a | 0.775 | 0.581 | 0.748 | 0.696 | 0.623 | 0.320 | 0.117 | 0.185 |
| 1a | 0.640 | 0.529 | 0.469 | 0.235 | 0.654 | 0.461 | 0.122 | 0.153 | |
| 3a | 0.370 | 0.144 | 0.397 | 0.111 | 0.580 | 0.515 | 0.136 | 0.172 | |
| 5a | 0.559 | 0.436 | 0.456 | 0.224 | 0.468 | 0.475 | 0.137 | 0.185 | |
| 7a | 1.000 | 1.000 | 0.374 | 0.213 | 0.474 | 0.528 | 0.146 | 0.229 | |
| S3 | 0a | 0.667 | 0.775 | 1.000 | 0.246 | 0.422 | 0.320 | 0.151 | 0.149 |
| 1a | 0.271 | 0.810 | 0.487 | 0.179 | 0.719 | 0.383 | 0.106 | 0.157 | |
| 3a | 0.181 | 0.429 | 0.217 | 0.111 | 0.577 | 0.358 | 0.143 | 0.180 | |
| 5a | 0.955 | 0.617 | 0.205 | 0.291 | 0.630 | 0.558 | 0.158 | 0.185 | |
| 7a | 1.000 | 0.650 | 0.508 | 0.217 | 0.705 | 0.521 | 0.133 | 0.202 | |
| S4 | 0a | 0.514 | 0.644 | 0.685 | 0.314 | 0.651 | 0.334 | 0.117 | 0.138 |
| 1a | 0.379 | 0.555 | 0.325 | 0.224 | 0.778 | 0.381 | 0.100 | 0.172 | |
| 3a | 0.352 | 0.233 | 0.325 | 0.100 | 0.594 | 0.366 | 0.115 | 0.191 | |
| 5a | 0.154 | 0.320 | 0.330 | 0.224 | 0.519 | 0.419 | 0.137 | 0.206 | |
| 7a | 0.478 | 0.447 | 0.690 | 0.277 | 0.726 | 0.417 | 0.100 | 0.191 | |
| SCK | 0a | 0.208 | 0.642 | 1.000 | 0.314 | 0.651 | 0.311 | 0.117 | 0.177 |
| 1a | 0.262 | 0.402 | 0.208 | 0.156 | 0.752 | 0.310 | 0.116 | 0.182 | |
| 3a | 0.442 | 0.485 | 0.379 | 0.111 | 0.681 | 0.342 | 0.111 | 0.172 | |
| 5a | 0.658 | 0.552 | 0.550 | 0.201 | 0.586 | 0.548 | 0.153 | 0.210 | |
| 7a | 0.924 | 1.000 | 0.431 | 0.303 | 0.820 | 0.334 | 0.112 | 0.113 | |
Table 4: Membership value of soil fertility index for the horizontal cutting strips.
| Plot no. | Timea | pH | Soil organic matter | Total nutrients (g · kg-1) | Available nutrients (mg·kg-1) | ||||
|---|---|---|---|---|---|---|---|---|---|
| Total nitrogen content | Total phosphorus content | Total potassium content | Hydrolysable nitrogen content | Available phosphorus content | Available potassium content | ||||
| H1 | 0a | 0.703 | 0.402 | 0.784 | 0.798 | 0.548 | 0.224 | 0.117 | 0.167 |
| 1a | 0.253 | 0.423 | 0.955 | 0.483 | 0.612 | 0.448 | 0.100 | 0.169 | |
| 3a | 0.451 | 0.106 | 0.541 | 0.269 | 0.472 | 0.395 | 0.126 | 0.188 | |
| 5a | 0.856 | 0.378 | 0.330 | 0.336 | 0.343 | 0.503 | 0.129 | 0.212 | |
| 7a | 0.946 | 0.446 | 0.802 | 0.289 | 0.803 | 0.425 | 0.130 | 0.100 | |
| H2 | 0a | 0.757 | 0.570 | 1.000 | 0.876 | 0.591 | 0.512 | 0.149 | 0.156 |
| 1a | 0.163 | 0.474 | 0.955 | 0.415 | 0.532 | 0.498 | 0.100 | 0.178 | |
| 3a | 0.586 | 0.155 | 0.676 | 0.235 | 0.386 | 0.469 | 0.130 | 0.213 | |
| 5a | 0.100 | 0.282 | 0.664 | 0.213 | 0.377 | 0.503 | 0.139 | 0.198 | |
| 7a | 0.982 | 0.495 | 0.660 | 0.215 | 0.625 | 0.465 | 0.148 | 0.123 | |
| H3 | 0a | 0.748 | 0.707 | 1.000 | 0.730 | 0.651 | 0.390 | 0.117 | 0.199 |
| 1a | 0.307 | 0.549 | 0.721 | 0.606 | 0.438 | 0.459 | 0.117 | 0.201 | |
| 3a | 0.361 | 0.201 | 0.298 | 0.269 | 0.430 | 0.400 | 0.116 | 0.194 | |
| 5a | 0.109 | 0.339 | 0.415 | 0.246 | 0.350 | 0.489 | 0.138 | 0.202 | |
| 7a | 0.960 | 0.539 | 0.140 | 0.240 | 0.683 | 0.286 | 0.122 | 0.135 | |
| H4 | 0a | 0.820 | 0.944 | 0.937 | 1.000 | 0.618 | 0.482 | 0.117 | 0.152 |
| 1a | 0.487 | 0.309 | 0.937 | 0.370 | 0.414 | 0.367 | 0.100 | 0.165 | |
| 3a | 0.568 | 0.157 | 0.325 | 0.224 | 0.457 | 0.349 | 0.119 | 0.172 | |
| 5a | 0.424 | 0.191 | 0.156 | 0.213 | 0.373 | 0.397 | 0.123 | 0.213 | |
| 7a | 0.856 | 0.720 | 0.100 | 0.200 | 0.589 | 0.426 | 0.119 | 0.100 | |
| HCK | 0a | 0.559 | 0.583 | 0.442 | 0.348 | 0.651 | 0.433 | 0.117 | 0.200 |
| 1a | 0.181 | 0.497 | 0.541 | 0.471 | 0.482 | 0.344 | 0.112 | 0.230 | |
| 3a | 0.586 | 0.510 | 0.532 | 0.348 | 0.413 | 0.331 | 0.130 | 0.234 | |
| 5a | 0.649 | 0.613 | 0.532 | 0.460 | 0.606 | 0.358 | 0.117 | 0.198 | |
| 7a | 0.915 | 0.858 | 0.245 | 0.471 | 0.714 | 0.166 | 0.104 | 0.100 | |
Table 5: Membership value of soil fertility index for the vertical cutting strips.
Based on Tables 4 and 5, we can find that the differences of soil pH membership value in the contrast strips at different time periods was insignificant (P>0.05). However, the differences of soil pH membership value in the clear-cutting strips at different time periods were statistically significant (P<0.05). Generally, the pH membership value in the clearcutting strips declined and then slightly increased again over time. In the harvesting year, the pH membership values of all the harvesting strips were higher than that of the contrast strips. After planting for 3 years and 5 years, those values were less than the contrast strips.
The differences of soil organic matter content membership values in the clearcutting strips were statistically significant (P<0.05). The membership value basically declined first and then increased for each harvesting strip and was the lowest after planting for 3 years. After planting for 7 years, besides S2, the membership values of all the clearcutting strips were less than those of the corresponding contrast strips.
There were no significant differences in the membership value of total nitrogen content for the contrast strips at different time periods (P>0.05). However, the differences for the clearcutting strips at different periods were significant (P<0.05), showing a trend of decreasing followed by increasing over time. After planting for 7 years, the total nitrogen content of the clearcutting strips S3, S4, H1 and H2 were higher than the corresponding contrast strips.
The contrast strips had no significant differences in the total phosphorus content at different time periods (P>0.05). However, the differences for the clearcutting strips at different periods were significant (P<0.05). Similar to the variation trend of total nitrogen, the membership value of total phosphorus content in the clearcutting strips decreased first and then increased over time. After planting for 7 years, the membership value of the total phosphorus content in all strips were lower than the corresponding contrast strips.
The contrast strips had no significant differences in the total potassium content membership at different periods (P>0.05). There were significant differences in the total potassium content membership for the clearcutting strips over time (P<0.05). Except for S1, the total potassium content membership of other horizontal clearcutting strips showed the tendency of rise-decline-rise. The vertical clearcutting strips displayed the tendency of declining first and then rising. After planting for 7 years, except for S4 and H1, the membership values of total potassium content in the other strips were less than the corresponding contrast strips.
With regard to the hydrolysable nitrogen content membership, available phosphorus content membership and available potassium content membership in the clearcutting strips, they were all significantly different among different time periods (P<0.05). The membership value of hydrolysable nitrogen content in the soil of horizontal strips generally showed an increase trend over time, while that in the vertical strips were somewhat fluctuating. Except for S1 and S2, all the clearcutting strips displayed the tendency of decline-rise-decline in the available phosphorus content membership. In addition, the available potassium content membership was generally rising in all the strips. After planting for 7 years, for the horizontal clearcutting strips, the hydrolysable nitrogen content membership and available potassium content membership were higher than that of contrast strip, S1 and S2 had higher available phosphorus content membership than the contrast plots, and S2 had the highest hydrolysable nitrogen content membership. For the vertical clearcutting strips, the membership values of hydrolysable nitrogen content, available phosphorus content and available potassium content were all higher than the contrast strip.
Comprehensive Evaluation of Soil Fertility
Determining the weight of each evaluation index
The statistical software SPSS19.0 was used to conduct principal component analysis. The average membership values of the soil fertility indexes such as soil pH (X1), organic matter content (X2), total nitrogen content (X3), total phosphorus content (X4), total potassium content (X5), hydrolysable nitrogen content (X6), available phosphorus content (X7), and available potassium content (X8) were used to determine the weight of each soil fertility index.
According to the running results of PCA, the first principal component accounted for 32.28% of total variance, and soil pH, organic matter content, and total potassium content had greater loads; the second principal component explained 25.22% of variability of the data and hydrolysable nitrogen content, available phosphorus content , and available potassium content had greater loads; the third principal component contributed 17.52% of the variance and total nitrogen content and total phosphorus content had greater loads. The eigenvalues of the first three principal components all greater than 1.0 and the accumulative variance contribution reached 75%, therefore the first three principal components can explain the major information of soil fertility. The expressions for the first three components are as follows:

Eq. (4) was used to calculate the original weight of each soil fertility index. The resulted index weights were then normalized and the final weights for the eight indexes (X1-X8) are as follows: w (0.187, 0.205, 0.120, 0.131, 0.047, 0.128, 0.148, 0.034).
Results of integrated soil fertility index
In combination with the membership value of each soil fertility index and the index weights obtained by PCA, the integrated soil fertility index was computed based on Eq. (5) and the results are shown in Table 6 and Figure 1. It is shown that no matter what kind of clearcutting mode was applied; the integrated soil fertility index basically presented the tendency of declining first and then rising. The integrated soil fertility index reached the lowest value after planting for 3 years. After afforestation for 7 years, the order of the integrated soil fertility index for the horizontal clearcutting strips is: S2>S3>S4>S1, while that of the vertical strips is H1>H2>H4>H3. The horizontal clearcutting strip S2 (8m-wide) had the highest integrated soil fertility index, which was significantly higher than that of the corresponding contrast strip. Among the vertical strips, the integrated soil fertility index of H1 was the largest, which was also higher than the corresponding contrast strip.
| Plot no. | 0a | 1a | 3a | 5a | 7a |
|---|---|---|---|---|---|
| S1 | 0.519 | 0.416 | 0.278 | 0.320 | 0.352 |
| S2 | 0.539 | 0.428 | 0.280 | 0.387 | 0.584 |
| S3 | 0.524 | 0.403 | 0.263 | 0.499 | 0.536 |
| S4 | 0.447 | 0.359 | 0.264 | 0.269 | 0.409 |
| SCK | 0.425 | 0.275 | 0.340 | 0.456 | 0.571 |
| H1 | 0.490 | 0.418 | 0.304 | 0.428 | 0.517 |
| H2 | 0.613 | 0.406 | 0.358 | 0.293 | 0.507 |
| H3 | 0.605 | 0.439 | 0.275 | 0.278 | 0.430 |
| H4 | 0.703 | 0.402 | 0.296 | 0.259 | 0.449 |
| HCK | 0.433 | 0.353 | 0.412 | 0.469 | 0.512 |
Table 6: Integrated soil fertility index of low-quality forest experimental strips at different time periods.
Zhang et al. [18] divided the soil fertility quality index into five classes as follows: I: IFI ≥ 0.80, qualified soil fertility; II: 0.60 ≤ IFI<0.80, better soil fertility; III: 0.40 ≤ IFI<0.60, moderate level of soil fertility; IV: 0.20 ≤ IFI<0.40, relatively poor soil fertility; and V: IFI<20, poor soil fertility. In this study, about 87.5% of the clearcutting strips after afforestation for 7 years were within the range of 0.4 and 0.6, indicating moderate level of soil fertility. The horizontal strips S2 (8 m-wide) and S3 (10 m-wide) and the vertical strip H1 (6 m-wide) had higher soil fertility index than the past, which means that the soil fertility of those strips had been improved to some degree, however they were still in the moderate level of soil fertility.
Conclusions and Discussion
The soil fertility in the low-quality forest clearcutting strips at different time periods in the Lesser Khingan Range of China was evaluated based on principal component analysis and membership function. The evaluation method of soil fertility can directly affect the correctness, objectivity and guidance of the evaluation results [19]. Therefore, while assessing the soil fertility, the subjectivity should be reduced as much as possible so that the evaluation result can objectively reflect the true state of soil fertility. Due to the dimensional variance of all the indexes, the membership functions were used to normalize them so that all the soil fertility indexes can be comparable. The weight of each soil fertility index was determined through principal component analysis in consideration of the mutual dependence of some indexes to some degree, which also avoided subjective randomness.
The analyses of this study suggest that strip clearcutting had greater effect on the total phosphorus content of the soil, but had least effect on soil pH in the low-quality forest stand. The soil fertility indexes of different strips generally decreased at the initial period and then increased over time with the lowest value appeared after planting for 3 years. After afforestation for 7 years, the order of the integrated soil fertility index for the horizontal clearcutting strips is: S2>S3>S4>S1, while that of the vertical clearcutting strips is H1>H2>H4>H3. The integrated soil fertility index of S2 (8m) was the highest, which was also significantly higher than that of the year of harvest, showing the best effect. Therefore, it is recommended that the 8 m horizontal strip clearcutting can be applied in forestry practice.
It was also noted that even though the soil fertility of some experimental strips (S2, S3, H1) was improved, most clearcutting strips were remained at moderate level. It is well known that soil fertility quality can be affected by several different influence factors [20]. The soil fertility quality of low-quality forest clearcutting strips differed both in spatial scale and temporal scale. Therefore, long-term and consecutive observation in combination with scientific and effective study methods is critically required in order to accurately assess the change in the soil fertility of the clearcutting strips. Although a lot of soil samples were collected in this study, there are still some limitations in this study. Future research should take into consideration the combination of GPS and GIS in the soil fertility quality evaluation of low-quality forest clearcutting strips, and a complete soil fertility quality database should be established in order to provide importance reference for the sustainable operation and development of the forest.
Competing Interests
The authors declare that there is no conflict of interest regarding the publication of this paper.
Acknowledgements
The authors would like to acknowledge the support of the National Natural Science Foundation of China (31400539) and Forestry Industry Research Special Funds for Public Welfare Project of China (201504319).
References
- Binkley D, Fisher R F (2012) Ecology and management of forest soils (Fourth Edition), John Wiley and Sons, New York, USA.
- Lukina NV, Orlova MA, Isaeva LG (2011) Forest soil fertility: the base of relationships between soil and vegetation. Contemp Probl Ecol 4: 725-733.
- Burger JA, Gray G, Scott DA (2008) Using soil quality indicators for monitoring sustainable forest management. In: Page-Dumroese D, Neary D, Trettin C (eds). Scientific background for soil monitoring on National Forests and Rangelands: workshop proceedings, April 29-30, 2008, Denver, CO. Proc. RMRS-P-59. Fort Collins, CO: U.S. Department of Agriculture, Forest Service, Rocky Mountain Research Station, USA.
- Oren R, Ellsworth DS, Johnsen KH, Phillips N, Ewers BE, et al. (2001) Soil fertility limits carbon sequestration by forest ecosystems in a CO2-enriched atmosphere. Nature 411: 469-472.
- Subedi S, Fox TR (2015) Soil fertility assessment in the 3-PG model using site index in the southeastern United States. Paper presented at the 18th biennial southern silvicultural research conference, Asheville, NC: U.S. Department of Agriculture, Forest Service, Southern Research Station, USA.
- Mao B, Dong XB (2013) Comprehensive evaluation on soil fertility of low-quality forest stands after alteration by logging in Xiaoxing’an Mountain. J NE Forestry Uni 41: 35-38.
- Yang X, Dong XB, Jiang F, Meng KH (2009) Assessment of low-quality forest stands in Yichun forest region of Heilongjiang Province. J NE Forestry Uni 37: 10-12.
- Zhang Y, Jiang ZZ, Dong XB, Meng KH (2009) Classification and evaluation of low-quality forests in forest regions of Xiaoxing’an mountains. J NE Forestry Uni 37: 99-102.
- LV HL (2012) The evaluation of ecosystem restoration effect on low-quality forest after the transformation in Xiaoxing’an Mountains. M.S. Thesis, Northeast Forestry University, Harbin, China.
- Song YW (2011) Current status of low-quality forest transformation. Forestry of China 24: 52.
- Liu M S, Dong XB, Guo H, Meng KH, Fan YT (2010) Change in soil physical and chemical properties of low-quality forest stands in Lesser Xing’an Range after alteration by logging.J NE Forestry Uni 38: 36-40.
- Guo H, Dong XB, Meng KH, Fan YT (2010) Analysis about change of water-holding characteristics of litter layer after logging reform in low-quality forest stands of Lesser Khingan Range. Scientia Silvae Sinicae 46: 146-153.
- National Forestry Bureau of China (1999) Forest Soil Analysis Methods. China Standard Publishing House, Beijing, USA.
- Wang YY, Sun J, Liu ZH, Qiao YL, Zhang XJ, et al. (2016) Soil fertility quality assessment of Magnolia officinalis communities in Qinba Mountains. Acta Ecologica Sinica 36: 5133-5141.
- Ali OA, Ali AY, Sumait BS (2015) Comparison between the effects of different types of membership functions on fuzzy logic controller performance. International Journal of Emerging Engineering Research and Technology 3: 76-83.
- Li BH, Zhang J, Yao XL, Ye J, Wang XG, et al. (2008) Seasonal dynamics and spatial distribution patterns of herbsdiversity in broadleaved Korean pine (Pinus koraiensis) mixed forest in Changbai mountains. Chin J Appl Ecol 19: 467-473.
- Wu JZ, Cai XX, Lin WS (2015) Assessment on the soil health of conifer and broad-leaved mixed forests at different successional stages in Jiaohe. Jilin Province. J NE Forestry Uni 43: 78-82.
- Zhang HB, Luo YM, Zhao QG (2006) Hong Kong soil researches VI. Integrated evaluation of soil fertility quality based on the improved Analytical Hierarchy Process. Acta Pedologica Sinica 43: 577-583.
- Luo DQ, Bai J, Xie DT (2002) Research on evaluation norm and method of soil fertility. Soil and Environmental Sciences 11: 202-205.
- Gilluly J, Waters AC, Woodford AO (1975) Principles of geology (Fourth Edition). W.H. Freeman, San Francisco, USA.
Spanish
Chinese
Russian
German
French
Japanese
Portuguese
Hindi 

