Research Article, J Mar Biol Oceanogr Vol: 7 Issue: 4
Bioaccumulation of Trace Metals in Golden Rabbit fish Siganus guttatus, Collected in Selected Seagrass Meadows of Northern Mindanao, Philippines
Antonio Fabela Regis Jr1*, Elnor C Roa2, Ruby C. Gonzales2 and Dan M Arriesgado2
1Fish CORAL Project Regional Management Office Bureau of Fisheries and Aquatic Resources Caraga Region Sitio Tawilon, Masao, Butuan City, Philippines
2Mindanao State University at Naawan, Philippines
*Corresponding Author : F. Regis Jr.
Fish CORAL Project Regional Management Office Bureau of Fisheries and Aquatic Resources Caraga Region Sitio Tawilon, Masao, Butuan City, 8600, Philippines
Tel: +639177217223
E-mail: toniregisjr@gmail.com
Received: April 18, 2018 Accepted: June 04, 2018 Published: June 11, 2018
Citation: Regis AF, Roa EC, Gonzales RC, Arriesgado DM (2018) Bioaccumulation of Trace Metals in Golden Rabbit fish Siganus guttatus, Collected in Selected Seagrass Meadows of Northern Mindanao, Philippines. J Mar Biol Oceanogr 7:4. doi: 10.4172/2324-8661.1000196
Abstract
Bioaccumulation of Trace Metals in Golden Rabbit fish Siganus guttatus, Collected in Selected Seagrass Meadows of Northern Mindanao, Philippines
The high-value Golden Rabbit fish (Siganus guttatus) was used to assess the current levels of trace metals zinc (Zn), copper (Cu), aluminium (Al) and cadmium (Cd) in 3 different seagrass meadows. The level of trace metals detected in the flesh of S. guttatus was at in the order of Al (18.360 mg/kg) >Zn (15.783 mg/kg) >Cu (1.0046 mg/kg) >Cd (0.100 mg/kg). Highest Al concentration was found in S. guttatus samples from Rizal, Zamboanga del Norte, as well as the toxic Cd. Human risk assessment based on the average Filipino consumption, showed that it is still safe to consume the fish S. guttatus on a daily basis. In general, Al was the most interactive element while Cd was the least. Regular monitoring of trace metals in these important seagrass meadows is recommended to avoid human health risk and ecological toxicity that may arise.
Keywords: Bioaccumulation; Trace metals; Seagrass meadows; Siganus guttatus
Introduction
There is a growing concern in the detection of high concentrations of trace metals in the marine environment and its implication to commercially important fish and other edible marine species [1]. These trace metals, the subset of trace elements that are usually present at minute but measurable amounts in animal and plant tissues, could pose a great threat because of their toxic nature, and potential health hazard to humans [2]. Seagrass communities are highly vulnerable because it acts as a catch basin for rivers, runoffs, and sewage from the terrestrial environment that brings persistent pollutants such as microplastics, pesticides and trace metals [3,4].
Inconspicuous leaching, the discreet process by which trace metals are washed out from soil or wastes into the water systems and in the marine environment particularly the seagrass communities [5] increases the chance of its bioaccumulation.
Trace metals in the aquatic environment pose a great threat to ecology, fish health, and fisheries, alongside with the potential health implications for humans. Chemicals like zinc, copper, aluminium and cadmium are some of the most common trace metals occurring in coastal areas near development sites for commercial urbanization and mining [6,7]. The increase in anthropogenic activity in the terrestrial environment, especially near coastal areas, also increases pollution loading into the sea, particularly in the seagrass communities [8].
This study targets the detection of trace metals zinc, copper, aluminium and cadmium in the commercially important fish species Siganus guttatus collected from 3 selected different seagrass beds in Northern Mindanao, Philippines. By using S. guttatus as bioindicator efficient measure for anthropogenic disturbances and pollution in the marine environment caused by industrialization and urban development near coastal areas can be monitored. The result of the study provides a benchmark data and helpful reference for future research and studies in trace metal bioaccumulation. It can also be used to recommend food and safety standards [9,10] and can serve as an effective tool for the creation of a local and national guideline for responsible usage and disposal of toxic trace metals [11]. More importantly, it can be an efficient measure for ecological biomonitoring, or in inferring the ecological condition on an ecosystem examining the interaction of biotic and abiotic factors in regular time intervals [12-14].
With the on-going developments in Northern Mindanao, Philippines such as the creation of airports and marine ports, mineral mining, power plants and reclamation areas for industrial uses, within and near the coastal zone, assessment of trace metals and its effect in the coastal environment and the food supply, is deemed necessary to protect not only the conservation of the natural resources but also to safeguard the health and safety of the people.
Methods
Study area
Three seagrass communities within Northern Mindanao were selected as sampling sites of the study. 3 key sites have been chosen for their economic and ecologic importance: Laguindingan in Misamis Oriental (8.5943° N, 124.4309° E), Kauswagan in Lanao Del Norte (8.1599° N, 124.0975° E) and Rizal in Zamboanga Del Norte (8.6224° N, 123.5217° E) (Figure 1). The sites were specifically chosen for their proximity to large industrialization and development.
In Laguindingan, Misamis Oriental, massive expansion of roads, reclamation and urbanization has occurred in the past 5 years because of the establishment of the Laguindingan (Cagayan de Oro) International Airport. In Rizal, Zamboanga del Norte, river tributaries from Sibutad flows to the coastal areas of Rizal and into the Murcielagos bay, carrying with it potential wastes and traces metals from the artisanal gold mining and large-scale copper-gold mining. On the other hand, in Kauswagan, Lanao del Norte, GN Power Kauswagan Ltd. Co. a coal-fired power plant is currently under construction and is said to begin operations by 2018. These 3 areas are of major concern because of their high seagrass biodiversity and their importance to the local community being a main source of immediate food and livelihood.
Collection of samples
Fish samples were collected from the fish catch of the day by the local fishermen. Thirty samples of fish freshly caught in each of the areas were bought, identified, measured for its length and weight (Figure 2). After the biometrics, flesh samples were taken using the muscle of the fish below the dorsal fins. 100 g of flesh per sample was taken and was immediately placed in polyethylene plastic ziplock bags, stored in an icebox for transport to laboratory. Sediment and water samples were also taken from the area where the plant and animal samples were collected. Five sediment cores were done in each study area.
Detection of trace metals Zn, Cu, Al and Cd, was done using Agilent 4200 Microwave Plasma Atomic Emission Spectroscopy (MPAES) from MSU-IFRD Analytical Laboratory. The instrument was calibrated with standard solutions and optimized according to the manufacturing standards.
Levels of Zn, Cu, Al and Cd, were determined based on the trace metal detection from the 60 samples analysed using MPAES. The mean values were then statistically analysed to determine significant correlations between trace metals, between species, and between sites. Bioconcentration factor (BCF) is an indicator of an organism’s ability to take up and accumulate trace metals present in its immediate environment. BCF of the selected macrobenthic flora and fauna was determined using the equation [15].

Human risk assessment (HRA) for the fish was calculated to have a visualization of the potential accumulation of the trace metals in the human body due to their consumption of these foods obtained from the different areas of the study. Using the following equation [16], human risk assessment was calculated:

Where R is the consumption pattern calculated based on the Filipino average fishery product intake of 101 g/day/person [17], multiplied to the metal concentrations in the fish (C), and the obtained values were then divided by the average body weight (BW) of a person, which for this study was 60 kg.
The HRA values were then compared with the permissible limit in fish by FAO/WHO [18] and the Minimum Risk Levels (MRL) for contaminants and toxins in food as prescribed by ATSDR/ US-EPA [19] to determine if daily consumption of the fish is still advisable for these areas.
Results and Discussion
The size range of the fish samples used in the study is projected in Table 1, wherein, samples from Rizal were biggest in length with a range of 197-277 mm. In Laguindingan and Kauswagan, size ranges were from 185-226 mm and 187-225 mm, respectively.
| Mean Concentration (mg/kg) | ||||
|---|---|---|---|---|
| Siganus guttatus | ||||
| Zn | Cu | Al | Cd | |
| Laguindingan | 15.783 | 1.364 | 15.068 | 0.086 |
| Kauswagan | 12.433 | 0.823 | 15.106 | 0.010 |
| Rizal | 5.545 | 1.046 | 18.360 | 0.100 |
| Mean | 11.254 | 1.078 | 16.178 | 0.065 |
| Sediment | ||||
| Zn | Cu | Al | Cd | |
| Laguindingan | 5.281 | 1.362 | 335.492 | bdl* |
| Kauswagan | 0.066 | 1.353 | 1041.493 | bdl* |
| Rizal | 0.136 | 0.908 | 339.823 | bdl* |
| Mean | 1.828 | 1.207 | 572.269 | bdl* |
| Water (mg/L) | ||||
| Zn | Cu | Al | Cd | |
| Laguindingan | 0.024 | 0.045 | 0.279 | bdl* |
| Kauswagan | bdl* | 0.049 | 0.248 | bdl* |
| Rizal | bdl* | 0.049 | 0.240 | bdl* |
| Mean | 0.007 | 0.048 | 0.256 | bdl* |
Table 1: Summary table for the mean concentration levels of trace metals Zn, Cu, Al and Cd in the sediment, water and fish (S. guttatus).
Weight composition of the fish measured is useful specially in determining the contamination level in the flesh of the fish as compared to the set standards and guidelines by regulating bodies. Samples from Rizal were heaviest, with weight range of 197.4–219.9 g, followed by samples from Kauswagan (166.7–248.9 g) and then Laguindingan (173.4–230 g) (Table 2). Using the mean values for the length and weight of the samples, a two-way ANOVA was done to see if there was a significant difference in their means.
| Mean | |||||
|---|---|---|---|---|---|
| No. of samples | Size Range (mm) | Weight Range (g) | Length (mm) | Weight (g) | |
| Laguindingan | 30 | 185 – 226 | 173.4–230 | 206 | 192.6 |
| Kauswagan | 30 | 187 – 225 | 166.7–248.9 | 206 | 206.9 |
| Rizal | 30 | 197 – 227 | 197.4–219.9 | 214 | 207.6 |
| Total no. of samples | 90 | ||||
Table 2: Length and weight size range for samples of the fish species, S. guttatus caught in Laguindingan, Misamis Oriental, Kauswagan, Lanao del Norte and Rizal, Zamboanga del Norte.
The P-value was 0.2786 (α=0.05), and therefore, had no significant difference between the mean values of all the samples from the different areas. Apparently, this size range is typically the length allowable for commercial fishery and has also been used in similar studies for Siganus sutor in determining heavy metals and human health risk in Dar es Salaam Tanzania [16], and Siganus oramin from Victoria Harbour, Hong Kong [20].
Trace metal bioaccumulation
Concentration of trace metals in the samples of the fish S. guttatus is projected in Figure 3, wherein it depicted the presence of the trace metals Zn, Cu, Al and Cd in its muscle tissues. Results of the twoway ANOVA between area and trace metal concentration showed no significant difference in the all the samples of S. guttatus (alpha=0.05, P=0.713128) collected from the different seagrass meadows.
Figure 3: Mean length and weight of Siganus guttatus collected from the seagrass meadows of Laguindingan, Misamis Oriental, Kauswagan, Lanao del Norte and Rizal, Zamboanga del Norte. Using the mean values for the length and weight of the samples, a two-way ANOVA with P-value 0.2786 (α=0.05) describes that there is no significant difference between the samples in the 3 areas.
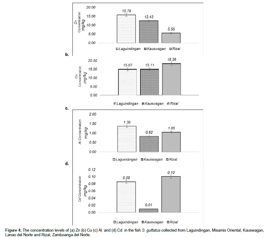
Al and Zn were both detected to have the highest concentration among the 4 elements. The order of concentration of the metals in the samples is: Al>Zn>Cu>Cd. Highest Al concentration was found in S. guttatus samples from Rizal with mean concentration value of 18.360 mg/kg. Zn was also detected high in the fish samples with highest level detected from Laguindingan with mean value 15.783 mg/kg. Zn is considered a micronutrient essential for the growth and development of plants and animals [21], and it also acts as limiting nutrient in the marine environment [22,23]. For Cu and Cd concentration, highest mean value were detected in fish samples from Laguindingan and Rizal at 1.046 mg/kg and 0.100 mg/kg respectively. These two metals are potentially hazardous at high concentration and could be possibly fatal to humans at high dosage (Figure 4).
Fishes are constantly exposed to heavy metals through respiration in their gills, and ingestion by grazing on seagrass and epiphytes, thus its tendency to accumulate high levels of trace metals in its muscle tissues [24-26]. This in turn becomes concentrated in its system at high levels, and once it is consumed by its prey, including humans, it is possible to cause potential health hazards.
In Table 1, the different concentration levels of trace metals Al, Cd, Cu and Zn in different siganid species and other commercially important fishes from different literature are projected for comparison with the results of this study and for reference. It is apparent that Al and Zn are consistently accumulated at higher magnitude compared to Cu and Cd in the different species.
The availability of the specific trace element for ingestion, respiration and absorption in the organism and its ability to utilize these elements, play a major role in the bioaccumulation of these trace metals into its system [24,26].
Human risk assessment
Table 3 shows the HRA values for S. guttatus collected from the 3 selected seagrass meadows in Northern Mindanao, Philippines. Zn, Cu, Al and Cd concentration in the S. guttatus, were within the permissible levels for contaminants and toxins in fish according to FAO/WHO [18] and were also within the allowable limit for the MRL [19].
| Mean Concentration (mg/kg) | ||||
|---|---|---|---|---|
| Area | Zn | Cu | Al | Cd |
| Laguindingan | 0.0266 | 0.0023 | 0.0254 | 0.0001 |
| Kauswagan | 0.0209 | 0.0014 | 0.0254 | 0.0000 |
| Rizal | 0.0093 | 0.0018 | 0.0309 | 0.0002 |
| Permissible limit from FAO/WHO 2010 (mg/kg) | 0.3-1.0 | 0.05-0.5 | 1.0 | 0.007 |
| MRL by ATSDR/US-EPA 2017 (mg/kg/day) | 0.3 | 0.01 | 1.0 | 0.0005 |
Table 3: Human Risk Assessment for Zn, Cu, Al and Cd in S. guttatus with respect to the daily average fish consumption in the Philippines.
Highest HRA for Zn was found in samples from Laguindingan at 0.0266 mg/kg, while lowest was from Rizal at 0.0093 mg/kg. For Al it was highest from fish samples obtained from Rizal at 0.0309 mg/ kg, and lowest from Kauswagan and Laguindingan at 0.0254 mg/kg. Cu in samples from Laguindingan was also highest at 0.0023 mg/kg compared to samples from Kauswagan and Rizal at 0.0014 and 0.0018 mg/kg respectively. Lastly, Cd was at 0.0002 and 0.0001 mg/kg for Rizal and Laguindingan samples.
These results indicate that consumption for the fish S. guttatus from Laguindingan, Kauswagan and Rizal are still fit for human consumption on a daily basis. Any increase though in the levels of Cd and Cu concentration in the muscle tissues of the S.guttatus, could pose potential human health risk brought about by their toxic nature.
Bioconcentration factor in S. guttatus
The BCF of the fish S. guttatus was calculated using the detected trace metal concentration from the seawater collected in the seagrass meadow were the fishes were caught. In Laguindingan, the order of BCF is Zn > Al > Cu, while for Kauswagan and Rizal, it was only Al>Cu. Cd concentration in the water samples were also below the detection limit and therefore no BCF be was calculated. Zn in the seawater samples from Kauswagan and Rizal was also below detection limit.
The low presence of the trace metals in the seawater can be attributed to the diffusion of these elements through the aquatic system [2], and its changing hydrodynamics influenced by the rise and fall of water levels due to the tide, effluents from the coast and rainfall. Due to continuous exposure of fishes to particulate matter in the water, through their gills and their food, increased BCF is expected, having concentration of trace metals higher than that of its ambient surrounding water [5].
Summary and Conclusion
In S. guttatus, concentration of trace metals were within permissible limits and by using a Human Risk Assessment (HRA) calculated based on Food and Nutrition Research Institute [17] for average Filipino daily consumption for fish, this level of trace metal concentration in the fish is still within the limit fit for consumption on a daily basis, as determined by FAO/WHO and ATDR/US-EPA [18,19].
Bioconcentration factor (BCF) was also determined by using the concentration obtained from the indicator species over the concentrations in sediment and water. The BCF is an index that describes how an organism responds to the different trace metals in its environment. Zn was highly accumulated by all bioindicators having a BCF as high as 665.039 for S.guttatus.
Determining the current status of these trace metals in the biotic and abiotic factors, and their potential human health risks, can give way to the formulation of preventive measures and mitigation laws for the sustainable development and conservation of these important ecological habitats. Common knowledge and understanding of the existence of this potential risks also plays a major role in the implementation of participatory coastal resource assessment and fisheries management.
The study further recommends regular monitoring activities for trace metals in these important seagrass meadows, and expands the coverage of the study to include mangroves, seaweeds, other macro invertebrates (corals, sandworms, etc.) and other fish species, as well as take into consideration heavy metals mercury, lead, arsenic and manganese.
Acknowledgement
The authors of this paper would like to thank the Mindanao State University at Naawan and the Department of Science and Technology–Philippines, for the technical assistance and CHED-DARE TO project on Genetic structure of tropical seagrasses and biodiversity assessment of seagrass ecosystem in Southern Philippines for conservation and adaptive management, for the grant.
References
- FAO (2009) The State of World Fisheries and Aquaculture 2008. Food and Agriculture Organization of the United Nations, Rome, Italy.
- Horowitz, Arthur J (1985) A primer on trace metal-sediment chemistry. United States Geological Survey water-supply paper 84: 2277.
- Ahmad F, Shamila A, Mohd IMS, Baloo L (2014) Metal in Tropical Seagrass - Accumulation of Mercury and Lead. World Appl Sci J 32: 1468-1473.
- Tupan CI, Herawati EY, Arfiati D, Aulanni’am (2014) Profile of lead (Pb) Trace Metal in Water, Sediment and Seagrass (Thalassia hemprichii) in Ambon Island, Maluku, Indonesia. J Bio Env Sci 5: 65-73.
- Fatima M, Usmani N, Hosain MM (2014) Heavy Metal in Aquatic Ecosystem Emphasizing its Effect on Tissue Biaccumulation and Histopathology: A review. J Environ Sci Technol 7: 1-15.
- Vieira C, Morais S, Ramos S, Delerue-Matos C, Oliveira MBPP (2011) Mercury, Cadmium, Lead and Arsenic Levels In Three Pelagic Fish Species from the Atlantic Ocean: Intra- and Inter-Specific Variability And Human Health Risk For Consumption. Food and Chemical Toxicology 49: 923-932.
- Falcó G, Llobet JM, Bocio A, Domingo JL (2006) Daily Intake of Arsenic, Cadmium, Mercury, and Lead by Consumption Of Edible Marine Species. J Agric Food Chem 54: 6106-6112.
- Unsworth RKF, Cullen LC (2010) Recognising the necessity for Indo-Pacific seagrass conservation. Conservation Letters 3: 63-73.
- Dorne JLC, Kass GEN, Bordajandi LR, Amzal B, Bertelsen U, et al. (2011) Human Risk Assessment of Trace Metals: Principles and Applications. Met Ions Life Sci 8: 27-60.
- Kim HS, Kim YJ, Seo YR (2015) An Overview of Carcinogenic Trace Metal: Molecular Toxicity Mechanism and Prevention. J Cancer Prev 20: 232-240.
- Hosono T, Su CC, Delinom R, Umezawa Yu, Toyota T, et al. (2011) Decline in Trace Metal Contamination in Marine Sediments In Jakarta Bay, Indonesia Due to Increasing Environmental Regulations. Estuar Coast Shelf Sci 92: 297-306.
- Conti ME, Iacobucci M, Cecchetti G (2007) A Biomonitoring Study: Trace Metals in Seagrass, Algae and Molluscs in a Marine Reference Ecosystem (Southern Tyrrhenian Sea). Int J Environ Poll 29.
- Thangaradjou T, Noobi EP, Dilipan E, Susila S (2010) Trace Metal Enrichment in Seagrasses of Andaman Islands and Its Implication to the Health of the Coastal Ecosystem. Indian J Mar Sci 39: 85-91.
- Giarratano E, Duarte C, Amin OA (2010) Biomarkers and Trace Metal Bioaccumulation in Mussels Transplanted To Coastal Waters of the Beagle Channel. Ecotoxicol Environ Saf 73: 270-279.
- Jitar O, Teodosiu C, Oros A, Plavan G, Nicoara M (2014) Bioaccumulation of heavy metals in marine organisms from the Romanian sector of the Black Sea, New Biotechnol 32: 369-378.
- Mziray P, Kimirei IA (2016) Bioaccumulation of Heavy Metals in Marine Fishes (Siganus sutor, Lethrinus harak, and Rastrelliger kanagurta) from Dar es Salaam Tanzania. Regional Stud in Marine Sci 7: 72-80.
- National Nutritional Surveys (2015) Fish and Fish Products Consumption in the Philippines. Food and Nutrition Research Institute, Metro Manila Philippine
- Joint FAO/WHO Food Standards Programme Codex Alimentarius Commission (2010) Report of the 4th session of the Joint FAO/WHO Food Standards Programme Codex Committee on Contaminants in Foods. Fourth Session, Izmir, Turkey.
- Minimal Risk Levels (MRLs) (2017) Agency for Toxic Substances and Disease Registry (ATSDR) and U.S. Environmental Protection Agency (EPA) Washington DC, USA.
- Chan KM (1995) Concentrations of Copper, Zinc, Cadmium and Lead in Rabbit fish (Siganus oramin) Collected in Victoria Harbour, Hong Kong. Marine Poll Bull 31: 277-280.
- Bodar CWM (2007) Final Report: Environmental Risk Limits of Zinc. National Institute for Public Health and the Environment, Bilthoven, The Netherland.
- Phillips DJH (1977) The Use of Biological Indicator Organisms to Monitor Trace Metal Pollution in Marine and Estuarine Environments: A Review. Environ Pollut 13: 281-317.
- Khayatzadeh J, Abbasi E (2010) The Effects of Heavy Metals on Aquatic Animals: The 1st International Applied Geological Congress, Department of Geology, Islamic Azad University - Mashad Branch, Iran, E-Journal of Chemistry.
- Raja P, Veerasingam, S, Suresh G, Marichamy G, Venkatachalapathy R (2009) Heavy Metals Concentration in Four Commercially Valuable Marine Edible Fish Species from Parangipettai Coast, South East Coast of India. J Anim Vet Adv 1: 10-14.
- Olowu RA, Ayejuyo O, Adewuyi GO, Adejoro IA, Denloye AB, et al. (2010) Determination of Heavy Metals in Fish Tissues, Water and Sediment from Epe and BadagryLagoons, Lagos, Nigeria. E J Chem 7: 215-221.
- Cacador I, Costa JL, Duarte B, Silca G, Medeiros JP, et al. (2012) Macro invertebrates and Fishes as Biomonitors of Trace Metal Concentration in The Seixal Bay (Tagus Estuary): Which Species Perform Better?. Ecol Indic 19: 184–190.
Spanish
Chinese
Russian
German
French
Japanese
Portuguese
Hindi 




